杜利模型 – 金融百科 – 金融知识

杜利模型

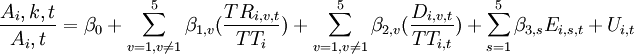
杜利模型的概述 杜利(Michael. P. Dooley)同海勒和奈特一样,认为在决定外汇储备币种分配时,职能实现过程的交易成本所产生的影响远远大于对外汇资产风险和收益率的考虑。他认为,在一国持有的储备中,持有某一种外汇资产是由贸易流量、外债支付流量和汇率安排共同影响的结果。他摈弃了“均值一方差分析”的资产组合理论,而采用回归分析法建立了计算统计模型。 杜利模型的回归方程式 杜利模型的回归方程式如下:frac{A_i,k,t}{A_i,t}=beta_0+sum_{v=1,vne1}^5beta_{1,v}(frac{TR_{i,v,t}}{TT_i})+sum_{v=1,vne1}^5beta_{2,v}(frac{D_{i,v,t}}{TT_{i,t}})+sum_{s=1}^5beta_{3,s}E_{i,s,t}+U_{i,t}其中:t=1,……,T,时期数;i=1,……,n,国家数;k=1,……,5,储备货币国家数:美国、德国、日本、法国和英国;s=1,……,5,汇率安排状况;Ai,k,t:在t期i国所拥有的储备中以k国货币持有的部分(年末数,以美元计);TRi,v,t:在t期的贸易总流量(i国与储备货币国v之间的出口与进口之和);Di,v,t:在t期i国以储备货币V国的货币形式付出的偿债支付;Ei,s,t:在t期i国所采用的汇率安排(指钉住或自由浮动等);i,t:在t期i国所持有的外汇储备总额(期末数,以美元计);TTi,t:在t期i国出口、进口和利息支付额之和。此回归方程的右边分为五大项,第一项为常数项,第二项反映了贸易流量对外汇储备币种分配的影响,第三项反映了外债支付对外汇储备币种分配的影响,第四项反映了汇率安排对外汇储备币种分配的影响,第五项为误差项。杜利模型表明在一国持有的储备中,持有某种外币资产是由贸易流量,外币支付流量和汇率安排共同影响的结果。由于模型加进了对发展中国家外债状况的考虑,因而比海勒-奈特模型更为完善。在进行回归运算时,杜利根据发展中国家和工业化国家的不同特点,分别进行了回归,使模型的应用性大大增强。杜利模型是目前较为完善的储备币种决定模型。对杜利模型的评析杜利模型对现实的模拟只是一种近似的估计,一些解释变量的数据都是近似的数据,误差可能极大。比如,在计算贸易流量时,以进出口的地区贸易结构来反映各种外汇资产在贸易中所占份额,是不确切的。因为一国的进出口中的货币组合并不完全与贸易的国家结构相吻合。另外,由于是计算模型,模型不能确切的回答储备币种应该按什么比例分配这一规范性的问题,它只能说明“是什么”的问题, 相关条目 资产组合理论海勒-奈特模型