阿特金森指数 – 金融百科 – 金融知识

阿特金森指数

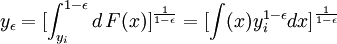
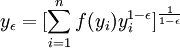
什么是阿特金森指数阿特金森指数是测度收入分配不公平指数中明显带有社会福利规范看法的一个指数。阿特金森指数首先计算出一个等价敏感平均收入yε(yε 定义为如果每个人享受到了这样一个等价敏感收入时的社会总福利,相当于收入实际分布时具有的社会总福利值) 。yε可由下式计算得出:y_epsilon=^{frac{1}{1-epsilon}}或者y_epsilon=^{frac{1}{1-epsilon}}=^{frac{1}{1-epsilon}}其中yi为第i 人( 或组) 的实际收入( 总收入);f(yi) 为第i 人(或组) 占总人口比例的密度函数;ε为不平等厌恶参数。该参数反映社会对于不平等的厌恶(或对平等的偏好) 程度,其取值范围是0<epsilon<+infty,随着ε的增加,社会给予更大的权重给收入相对较低的人群。比较典型的ε权重有0.5和2。在定义了yε后阿特金森指数可以表示为:Aepsilon=1-frac{y_epsilon}{mu}其中μ为平均收入, 从该指数可以看出:社会收入分配越公平, 则yε越接近μ, 阿特金森指数值也就越小;对于任何分布而言,阿特金森指数值的取值范围为 ,其中0 代表社会达到了收入的完全公平分配;如果yi代表的是第i 人的收入, 则第i 人占总人口数的比例就是frac{1}{n}, 阿特金森指数又可以用下式表示:A_epsilon=1-^{frac{1}{1-epsilon}}]阿特金森指数具有洛伦茨准则一致性, 而且在此基础上,它还具有可分解性。但是阿特金森指数的分解并不是等于组内与组间阿特金森指数之和,其分解公式如下:A_epsilon^T=A_epsilon^{between}+A_epsilon^{within}+Residual也就是说,阿特金森指数完全符合判断收入分配不公平程度测定指数优良的五条公理性原则。