赠与成分 – 金融百科 – 金融知识

赠与成分

赠与成分(Grant Element, 简称GE)

什么是赠与成分

赠与成分指一国政府在向另一国政府提供的政府贷款中 所含有的赠送成分。赠与成分是根据贷款利率、偿还期、宽限期、收益率等数据计算出来的衡量贷款优惠程度的综合性指标。

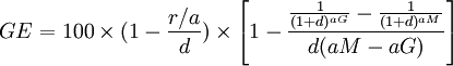
赠与成分计算公式

国际通用的计算赠与成分百分比的公式为:

GE=100 times(1-frac{r/a}{d}) timesleft[1-frac{frac{1}{(1+d)^{aG}}-frac{1}{(1+d)^{aM}}}{d(aM-aG)}right]

式中,GE:贷款金额面值中赠与部分所占百分比,即赠与成分;

r:利率;

a:每年偿付次数;

d:获益率,即贷款期内的贴现率;一般按综合年利率的10%计算;

G:宽限期,是第一次贷款支付期至第一次偿还期之间的时 间;

M:偿还期。