筹资规模 – 金融百科 – 金融知识

筹资规模

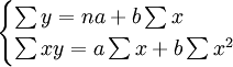
什么是筹资规模筹资规模是指一定时期内企业的筹资总额。确定筹资规模是制定筹资策略的主要内容,同时也是确定筹资方式的基本依据。筹资规模主要根据法律和投资规模确定,常用的方法有销售百分比、线性回归法、实际预算法。筹资规模的特征从总体上看,筹资规模呈现以下特征:(1)层次性。企业资余从来源上分为内部资金和外部资金两部分,而且这两者的性质不同。在一般情况下,企业在进行投资时首先利用的是企业内部资金,在内部资金不足时才考虑对外筹资的需要;(2)筹资规模与资产占用的对应性。即企业长期稳定占用的资金应与企业的股权资本和长期负债等筹资方式所筹集资金的规模相对应,随业务量变动而变动的资金占用,与企业临时采用的筹资方式所筹集的资金规模相对应;(3)时间性。筹资服务于投资,企业筹资规模必须要与投资需求筹资规模确定的方法常用的筹资规模确定的方法,主要有销售百分比法,线性回归分析法和实际预算法。1.销售百分比法销售百分比法是根据销售与资产负债表和利润表有关项目间的比例关系,预测各项目短期资金需要量的方法。该种方法有两个基本假定:一是假定企业的盈利模式、经营状况及管理水平不变,从而建立起各资产、负债项目与销售收入间的比例关系;二是假定未来销售是可预测的。销售百分比法,一般借助于预计利润表和预计资产负债表来确定其资金需要量,即通过预计利润表预测企业留用利润这种内部资金来源的增加额;通过预计资产负债表来测定企业筹资总规模与外部筹资规模的增加额。(1)预计利润表步骤:第一,取得基年实际利润表资料,计算确定利润表各项目与销售额间的百分比;第二,取得预测年度销售额的预计数,并以此与基年利润表各项目与实际销售额间的比率相乘,计算预计年度利润表各项目的预计数,编制预计利润表;第三,利润用预计年度税后利润预计数与预定的留存比率,确定并计算内部留存利润的数额。(2)预计资产负债表步骤:第一,确定资产或负债方中与销售额间有固定不变比率关系的项目,既随着销售的变动而同步变动的项目,也就是敏感性项目,包括敏感性资产项目(如:现金、应收账款、存货、固定资产净值等)和敏感性负债项目(如:应付账款、应付费用等)两部分,非敏感性项目有对外投资、短期借款、长期负债和实收资本等,它们在短期内都不会随销售规模的扩大而相应改变。第二,取得基年实际资产负债表资料,并计算得资产负债表各敏感性项目与销售额的百分比;第三,按照预计的销售额求得预计的资产负债表中需要追加外部筹资额(3)需要追加的外部筹资额也可用以下简便的公式来计算:需要追加的外部筹资额=triangle S times(sum alpha-sum Iota)-triangle E式中:triangle S——预计年度销售增加额sum alpha——基年总敏感资产的销售百分比sum Iota——基年总敏感负债的销售百分比triangle E——预计年度留存利润增加额2.线性回归法线性回归法是根据筹资规模与业务量间存在的关系,按照回归的方法来建立相关模型,利用历史资料来确定,在已知销售预测(x)的基础上,确定其筹资规模(y)。其模型为:y = a + bx式中:y为筹资规模;a为不变资金规模;b为单位业务量所需要的变动资金规模;x为业务量。在实际的运用中,需要利用历史资料来确定a,b数值,然后在已知销售预测(x)的基础上,确定其筹资规模(y)。具体可通过如下方程组求得a,b数值:begin{cases} sum y = na + bsum x \ sum xy = a sum x + bsum x^2 end{cases}3.实际预算法实际预算法是指企业在项目投资额基本确定的情况下,根据项目所需的实际投资额确定筹资规模的方法。