筹资总额分界点 – 金融百科 – 金融知识
- 筹资
- 2025-05-15 19:02:27
- 31热度
筹资总额分界点
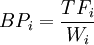
什么是筹资总额分界点筹资总额分界点是指在现有目标资本结构条件下,保持某一资本成本不变时可以筹集到的资金总限额,即特定筹资方式下的资本成本变化的分界点。即使维持现有的资本结构,其资金成本率也会增加。">编辑]筹资总额分界点的计算因为花费一定的资金成本只能筹集到一定限度的资金,超过这一限度多筹集资金就要多花费资金成本,引起原资金成本的变化,于是就把在保持某资金成本率的条件下可以筹集到的资金总限度称为筹资总额分界点或筹资突破点。在筹资总额分界点范围内筹资,原来的资金成本率不会改变;一旦筹资额超过筹资总额分界点,即使维持现有的资本结构,其资金成本率也会增加。筹资总额分界点的计算公式为:
其中:BPi为筹资总额分界点;TFi第i种筹资方式的成本分界点;Wi目标资金结构中第i种筹资方式所占的比例。举例某公司现有资金1000万元,其中长期借款100万元,长期债券200万元,普通股700万元。公司考虑扩大经营规模,拟筹集新的资金。经分析,认为目前的资金结构是最最优的,希望筹集新资金后能保持目前的资本结构。经测算,随出资额的增加,各种资金成本的变动情况如下表: 计算筹资总额分界点: