转换因子 – 金融百科 – 金融知识
- 衍生产品
- 2025-05-15 19:16:13
- 30热度
转换因子
芝加哥交易所规定,空头方可以选择期限长于15年且在15年内不可赎回的任何国家债券用于交割。由于各种债券息票率不同,期限也不同,因此芝加哥交易所规定交割的标准为期限15年、息票率为6%的国债,其它券种均得按一定的比例折算成标准券。这个比例成为转换因子(Conversion Factor)。
使不同的可交割债券价值具有可比性。
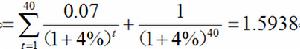
在计算转换因子时,债券的剩余期限只取3个月的整数倍,多余的月份舍掉(二舍三入)。如果取整数后,债券的剩余期限为半年的倍数,就假定下一次付息是在6个月之后,否则就假定在3个月后付息,此时累计利息应从贴现值中扣掉,以免重复计算。 举例: 假设一只债券存续期是20年零2个月,票面利率为14%,求转换因子。 债券含息价
格转换因子
债券含息价格
